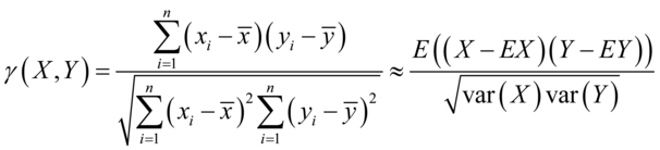
散点图是相关分析的强有力的工具,通过相关关系可以直观的看到他们是否有某种联系。在确定变量具有某种联系后,我们就可以统一的使用计算相关系数来衡量相关关系的大小程度。常使用的相关系数有Pearson相关系数,Spearman秩相关系数,Kendall相关系数.Pearson相关系数实际上反映的是变量之间的线性相关程度的大小。
Pearson:

(4.5)
若

,

都服从正态分布,则

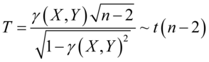
(4.6)
由此可以对X和Y进行Pearson相关性检验,若

,则认为X和Y的观测值之间存在显著地线性相关性。
简单相关系数模型:
Corrcoef
相关系数模型:
Corr